
Abstract: In this research, the mean and variance estimation of normal distribution requires certain technical derivation, because the moment structure includes a parametric restriction. Special methods of likelihood function and product moment calculations are delineated to motivate how an unbiased estimation with reasonable asymptotic efficiency may be accomplished.
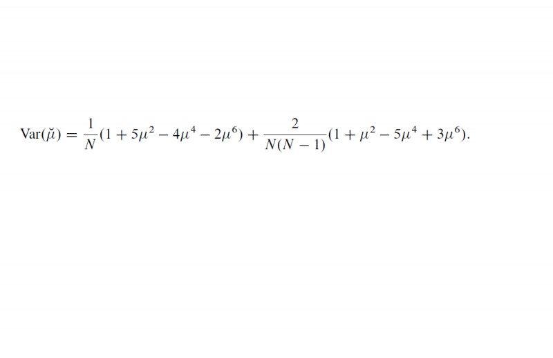
Equation:
Table
Copyright 2016 Shine-In Quantitative Research . All rights reserved.